Articles techniques

Amélioration de l'évaluation des lésions cervicales avec la Data Science et le Machine Learning

Par Magnús Gíslason, Université de Reykjavik


Affectant près de deux tiers de la population générale au moins une fois au cours de la vie, les douleurs cervicales sont un problème de santé croissant. Les causes courantes de cette affection incluent le coup du lapin, un coup à la tête ou des conditions de travail pénibles. Par exemple, les professionnels qui passent de nombreuses heures penchés sur leur espace de travail, comme les chirurgiens et les dentistes, développent fréquemment des douleurs au cou. Les personnes qui portent des casques de protection lourds, notamment les athlètes, les pilotes de jet et les pompiers, peuvent également être à risque.

De nombreuses techniques actuellement utilisées par les cliniciens pour évaluer les blessures au cou présentent des inconvénients importants, car elles reposent sur des observations subjectives de l’amplitude des mouvements, ce qui rend difficile l’évaluation de l’étendue d’une blessure ou le suivi des progrès pendant le traitement. Certaines nécessitent également des procédures manuelles exigeantes en main-d’œuvre impliquant un pointeur laser fixé sur la tête du patient, générant des résultats subjectifs.

Notre équipe a développé du hardware et du software qui aident à simplifier et à automatiser l’évaluation clinique des blessures au cou avec des mesures objectives. La technologie, initialement développée à l'Université de Reykjavik, a été commercialisée par la start-up NeckCare. La technologie repose sur un casque doté d'une unité de mesure inertielle (IMU) embarquée, ainsi que sur des algorithmes d'analyse de données et de Machine Learning développés dans MATLAB®. Les algorithmes traitent les signaux de l’IMU (Figure 1) et produisent des mesures 3D objectives et quantifiables relatives aux mouvements du cou. En comparant les données du capteur IMU de sujets sains avec les données de patients souffrant, par exemple d'un coup du lapin ou d'une commotion cérébrale, les algorithmes peuvent également classer avec précision les cas asymptomatiques et identifier ceux qui souffrent de causes courantes de blessures au cou.

Deux images côte à côte, l'une de la configuration d'évaluation des mouvements du cou et l'autre du casque IMU.

Figure 1. Configuration d'évaluation des mouvements du cou (à gauche) et casque IMU (à droite).

Présentation du test papillon

En utilisant le casque IMU et MATLAB, nous pouvons effectuer une grande variété d'évaluations, couvrant les trois principales dimensions de la cinématique humaine : l'amplitude des mouvements, la proprioception (la capacité de détecter le mouvement et l'orientation des parties du corps) et le contrôle neuromusculaire. Les évaluations neuromusculaires sont souvent les plus précieuses pour le diagnostic et parmi les plus difficiles à réaliser quantitativement avec les techniques existantes.

Pour évaluer le contrôle neuromusculaire d'un individu, nous avons inventé et breveté une procédure spécialisée appelée test du papillon. Au cours de ce test, un sujet est assis devant un écran d’ordinateur et il porte notre casque IMU. Le sujet est invité à suivre visuellement le mouvement d’un point sur l’écran, selon trois trajectoires différentes, allant de facile à difficile (Figure 2).

Trois trajectoires de lignes distinctes qui montrent les chemins suivis par un point en mouvement pour les tests papillon faciles, moyens et difficiles.

Figure 2. Chemins suivis par un point mobile pour les tests papillon faciles, moyens et difficiles. La vitesse varie en fonction de la courbure de sorte que la cible se déplace à une vitesse plus rapide sur les segments droits et ralentit dans les virages.

Pendant le test, l'IMU mesure en continu les changements d'orientation de la tête lorsque le sujet suit le point en mouvement (Figure 3). Plus précisément, il enregistre les angles de roulis, de tangage et de lacet 60 fois par seconde, ainsi que la vitesse angulaire et l'accélération de la tête sur ces dimensions. Ces données enregistrées sont celles que nous traitons dans MATLAB à l’aide de techniques statistiques et de Machine Learning.

Figure 3. Un sujet suivant un point en mouvement lors d'un test papillon.

Analyse statistique et visualisation

Le logiciel que nous avons développé, et que nous utilisons avec MATLAB pour l’analyse, est conçu pour mesurer objectivement la capacité d'un sujet à contrôler sa tête et son cou lorsqu'il suit le point mobile dans le test du papillon. Dans un premier temps, le logiciel projette les angles de rotation capturés par l'IMU sur le plan 2D coïncidant avec la surface de l'écran du moniteur. Grâce à cette projection, le logiciel peut ensuite comparer le chemin du point avec le chemin tracé par le sujet testé. En traçant des superpositions de ces chemins, il est facile de voir les différences dans les performances d’un sujet de test asymptomatique et d’un sujet de test présentant une blessure au cou (Figure 4).

Trois rangées de trajectoires de lignes qui montrent des visualisations faciles, moyennes et difficiles de performances du test papillon pour les sujets asymptomatiques et souffrant d'un coup du lapin.

Figure 4. Visualisations des performances du test papillon pour les sujets asymptomatiques et les sujets atteints de coup du lapin.

En plus de générer des visualisations, le logiciel calcule également plusieurs mesures statistiques pour mieux quantifier les différences entre les sujets asymptomatiques et symptomatiques. Une mesure clé est la précision de l'amplitude, ou la différence moyenne entre le point cible et le curseur sujet-témoin sur toute la durée du test. Le logiciel calcule également le temps sur cible, qui correspond au pourcentage de temps pendant lequel le curseur est sur ou à proximité immédiate de la cible. Cela inclut à la fois les dépassements et les sous-dépassements, c'est-à-dire la proportion de temps passé respectivement derrière ou devant la cible. Enfin, le logiciel calcule la fluidité du mouvement, un paramètre qui quantifie les saccades en fonction de l'intégration de la somme quadratique de la troisième dérivée des coordonnées spatiales tracées par le sujet, normalisée par rapport à la même quantité tracée par la cible. 

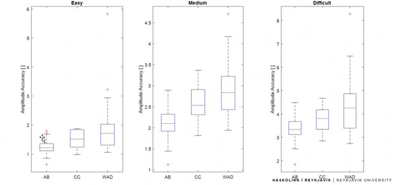
Les analyses réalisées avec le logiciel montrent systématiquement des différences statistiquement significatives entre les sujets asymptomatiques et les sujets souffrant d'un coup du lapin pour pratiquement toutes les mesures calculées, souvent avec p-valeurs inférieures à 0,001 (Figure 5).

Courbes de précision d'amplitude faciles, moyennes et difficiles pour les sujets asymptomatiques (AB), ayant subi une commotion cérébrale (CC) et un coup du lapin (WAD).

Figure 5. Courbes de précision d'amplitude pour les sujets asymptomatiques (AB), ayant subi une commotion cérébrale (CC) et ayant subi un coup du lapin (WAD).

Classification du Machine Learning

Nous avons récemment exploré l’utilisation du Machine Learning pour classer les sujets de test en catégories asymptomatiques, coup du lapin ou commotion cérébrale, en fonction des résultats de leurs tests. En utilisant l’application Classification Learner dans Statistics and Machine Learning Toolbox™, nous avons entraîné une variété de modèles de Machine Learning avec un ensemble de données comprenant 15 variables issues de tests papillon, 30 variables issues de tests d'amplitude de mouvement et 28 variables issues de tests de repositionnement tête/cou. Après avoir formé des modèles avec un ensemble de données limité, nous avons constaté qu’un modèle bayésien naïf fonctionnait mieux, classant les sujets avec une précision de 100 % ou presque (Figure 6).

Capture d'écran de l'application Classification Learner montrant le modèle naïf de Bayes comparé à d'autres modèles testés avec toutes les caractéristiques disponibles.

Figure 6. L'application Classification Learner montrant le modèle naïf de Bayes comparé à d'autres modèles testés avec toutes les caractéristiques disponibles.

Nous avons également utilisé les capacités de classement par caractéristiques de l’application Classification Learner pour identifier les caractéristiques les plus importantes pour la classification (Figure 7). Nous avons ainsi déterminé que les classifications basées uniquement sur les sept principales caractéristiques, classées à l’aide d’une analyse de variance, ou ANOVA, offraient la même précision que les classifications basées sur toutes les caractéristiques (Figure 8). Nous élargissons désormais les données d’apprentissage pour inclure un nombre beaucoup plus grand de sujets, et nous développons également des modèles qui permettront de classer les sujets en fonction de la gravité de leur déficience.

Capture d'écran de l'application Classification Learner montrant la fonction de classement des caractéristiques.

Figure 7. Classement des caractéristiques dans l'application Classification Learner.

Capture d'écran de l'application Classification Learner montrant le modèle naïf de Bayes comparé à d'autres modèles testés avec sept caractéristiques de premier ordre.

Figure 8. L'application Classification Learner montrant le modèle naïf de Bayes comparé à d'autres modèles testés avec sept caractéristiques de premier ordre.

Applications cliniques

Nous travaillons activement à l’adoption clinique de notre technologie, afin que les médecins puissent mieux traiter les patients souffrant de blessures au cou. Le casque est actuellement enregistré comme dispositif médical de classe I auprès de la Food and Drug Administration des États-Unis. De plus, nous continuons à développer des algorithmes MATLAB pour prendre en charge un nombre croissant d’applications logicielles. L’une de ces applications concerne la télésanté et d’autres solutions de santé à domicile, où les patients pourraient utiliser notre technologie à domicile pour effectuer des exercices thérapeutiques. Une autre méthode consiste à évaluer si un athlète est suffisamment en forme pour concourir après une blessure à la tête. Cette technologie pourrait également permettre de vérifier les demandes d’assurance et d’invalidité formulées par les patients souffrant d’un coup du lapin. Enfin, nous prévoyons d’étendre l’utilisation de notre technologie au-delà des évaluations de la colonne cervicale, à d’autres parties du corps humain.

Publié en 2024

Consulter des articles relatifs à des fonctionnalités associées

Consulter des articles relatifs à des secteurs associés