text
Display text at specific location on masked block icon
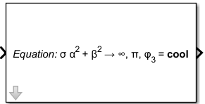
Description
text(
displays the x,y,inputText)inputText at a location specified by the point
(x,y). Use the Icon Units option in the Mask
Editor to specify the units of measurement for x and
y coordinates.
text(
allows you to use TeX formatting commands in the text. The TeX formatting commands in turn
allows you to include symbols and Greek letters in icon text. See Interpreter for information on the TeX
formatting commands supported by Simulink® software.x,y,inputText,texmode=IsTexMode)
text(
allows you to specify the horizontal and/or vertical alignment of the text relative to the
point x,y,inputText,Name=Value)(x, y) in the text command.
Examples
Input Arguments
Name-Value Arguments
Version History
Introduced before R2006a
See Also
port_label | disp | fprintf
